工整!中学女孩独创“饺子体”走红,字体圆滚又呆萌,老师直呼能得高分
本文编辑|旋妮审稿主任|探长(共1423字,阅读时间约4分钟)都说“字如其人”,写一手好字,不仅能给人带来比较好的第一印象,而且在考试的过程当中,还能成为自己很大的“加分项”。所以,能写一手好字,绝对是自己的优势所在。引言正是因为如此,很多人都在“字体”方面下了不少功夫,尤其是一些学生,可没少琢磨怎么才能写出漂亮的字。

文章插图
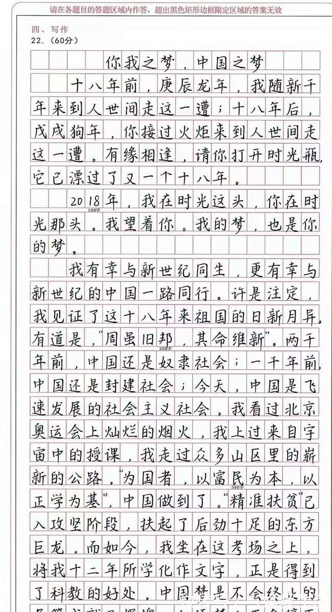
▼中学女生自创“饺子体”,深得阅卷老师喜欢,让我们一起见识一下吧!下图这个工整中带着可爱、整齐中还非常流畅的字体,就是传说中的“饺子字体”了。看到人家写的这一页笔迹,你是不是也非常羡慕呢?大小均等的字体跃然指上,一个个圆滚滚的像饺子一般,饱满圆润,看着就非常的美观可爱。

文章插图
包括一些学校的老师也表示:“饺子字体的确好看,尤其现在都是机器阅卷,在电脑上映照出来,整齐工整又美观,应该能得到很大的加分项,让老师也看得非常赏心悦目。”并且建议学生在“有闲暇”的时候,是可以练习一下类似字体。

文章插图
也正是因为如此,很多学生开始纷纷模仿练习这种“饺子字体”,但没过多长时间,就有一些学生放弃了,因为这种“饺子字体”看起来是非常好看,但练起来是真没那么容易。由此可见,要想写出来这么一手好看的饺子体,并不是一件非常容易的事情。

文章插图
除了这种美观又圆润的“饺子体”,在老师眼中,还有哪些字体是比较受欢迎的呢??奶酪字体前段时间风靡一时的奶酪字体,也在各大学校当中深受老师的喜欢。相较于饺子字体,奶酪字体更加工整严谨一些,总体来说没有那么圆润,但却是非常工整。尤其是在竖折弯钩当中,可以看出这种字体还是比较严谨的,不仅深受老师喜爱,而且相较于饺子体而言,奶酪字体更容易练习,有兴趣的同学不妨尝试一下。
【 工整!中学女孩独创“饺子体”走红,字体圆滚又呆萌,老师直呼能得高分】

文章插图
?印刷体说了这么多字体,其实最受老师喜欢的还是印刷体,一笔一画,一横一竖,都是严谨中透着大方,工整中极其美观的。不仅如此,印刷体更是衡水中学“钦点”的官方字体,是每一个学生都需要练习的。但是这种字体在赏心悦目的同时,也有一个非常大的缺点,那就是太过于“耗时”。

文章插图
如果能写出来漂亮的印刷体,那绝对能获得阅卷老师的喜欢,但是在写印刷体的过程当中,可能会出现写字速度过慢的状况,而影响整体试卷的完成速度,可以说是各有利弊。当然,说了这么多好看的字体,一些同学可谓是既羡慕又佩服,为什么人家能写出来这么好看的字体,而自己的字体却永远都是歪歪扭扭的呢?

文章插图
所以,接下来我们就说一下,如何才能写出来工整又美观的字体,希望大家可以相互借鉴经验,写出一手好字。★首先,选择一个好字贴是关键现在市场上的字帖有很多,选择一个自己喜欢的,适合自己的,从一而终的去练习。千万不要练了这本又学那本,到最后,没有一个字体是练成功的。选择一个好字帖,从一而终,坚持到底很关键。
- 教程&小女孩怎么画步骤详细的图文教程来了孩子喜欢画画的家长收好
- 乡情#他是八零后中学老师,用钢笔画出逼真雪景,连外国人都被迷住了
- 豹子@19岁女孩儿为救人徒手打死金钱豹,人生改写,晚年却悔恨不已
- 女孩!女孩出自古诗中的好名字推荐 不染世俗,风姿卓越!
- 女孩|林夏的职场晋升之路,他终于做对了一件事
- 工整!小学生“草书”试卷走红,老师看后心乱如麻:这是“天书”吗?
- 解海龙@30年前,那个希望工程“大眼睛女孩”被国家大力培养后,现状如何?
- 90后|90后海归女孩在北京当保姆被嘲,“我妈把我微信都删了”
- 好奇心$11岁女孩指出《西游记》漏洞,400年来无人发现,专家没法反驳
- 劝学@当年那位“大眼睛女孩”,因一张照片改写人生命运,如今怎么样了
