王金泉@他的书法习气太重,有忸怩作态之嫌,却能7获全国最高奖

文章插图
王金泉是当代成名极早,且很有创作实力的书法家,此可通过他的履历可见一斑:
他几乎入遍了包括全国书法中青展、楹联书法展、行草书书法展、全国隶书展等在内的全国性书法展览,并在前四届楹联书法展获得两届金奖、一届银奖,在第二届行草书大展获得金奖,在第八届全国书法展获“全国奖”。

文章插图
据统计,王金泉在全国书法展赛中,获得全国最高奖的次数有7次,这个数字看起来可能还没那么惊奇,可要知道,很多书法家是通过一次全国展获奖,便能闻名于天下,获奖这么多的书家是很少见的。
而且,这是王金泉在很多年前已经完成的成绩。现在王金泉已经很少投稿参加展览,但我们依然能看到他对全国书法展赛仍有着不小的影响:他的书法风格,在各大展览上被模仿;他的学生屡次在全国展览入展、获奖。
【 王金泉@他的书法习气太重,有忸怩作态之嫌,却能7获全国最高奖】

文章插图
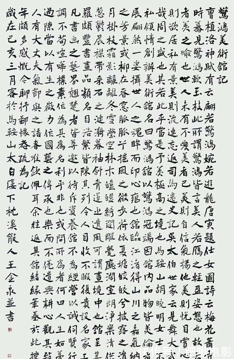
王金泉的书写看似漫不经意,其实呈现的是艰辛付出后的淡定。王金泉善于临摹,能够不断融进新的因素,使书写始终保持较为旺盛的生命力,如源头活水,汩汩不绝。
加之他勤于思悟、用功不倦,所以,其篆、隶、楷、行、草五体皆精自在情理之中,更为难得的是他的每一种书体皆已初步具备自家面目。

文章插图
王金泉的书法可以说是才子书的代表,字里行间流露出悠然的雅致情怀,令人印象深刻。他的书写善于用墨,浓淡枯湿,鲜活纯正,错落对比,不期然而然;线条挺劲,用笔跌宕;字内空间时有出人意想的伸展,颇有趣味。
王金泉的小行草书适合书写简札,逸笔草草,笔法跳跃丰富,线条光滑,转折处峻厉洞达,自然成章而骨力丰饶。

文章插图
他的行书融入草法,更显灵动多变。楷书非其代表书体,但却有不一样的意趣与骨力。他的篆隶凝涩,笔触多变,同时吸取了行书的意味,大小、正侧、浓淡、疏密、收放,均能得到较好的调节,于此见出他的用心所在。

文章插图
然而,王金泉作品的问题也有不少。如在运行间出现较多不受控制的笔触,信笔书之,只见笔迹,难见情性,使得线条单薄刻露,破坏了雅致情调,细节的处理仍未完备。
结字有忸怩作态之感,单字各自伸展,字行间难免缺乏协调,显得有些杂乱。对大章法关注不够,缺少构成意识,格局难免局促,这大概与其使用狼毫或兼毫的工具有关。

文章插图
他的诸体皆存在较为严重的习气,整体风格漂亮、优美,显得甜媚而流于时俗,华而不实,这样的美尚停留在较浅的层次。篆隶书倘无新鲜因素渗入,可能会出现油滑的疲态。
王金泉本人亦曾谓其作品存在墨色灰淡、神采匮乏、笔法荒率、精微欠缺、点画轻佻、缺乏厚重等弊端,可谓对自身有清醒认识者。他表明技法的手段远未到稳定完善的地步。
- 行草@他的书法犹如风卷云舒,呈现出灵动飞舞的气势,行草可比王羲之
- 太安城@《雪中悍刀行》离阳最强的王牌,令曹长卿惨死、王仙芝退守武帝城
- 佛教&“泰国圣僧”龙婆坤:捐款60亿泰铢,接受国王跪拜,一生是个传奇
- 王母娘娘#《西游记》五大美女,女儿国国王第五,观音第四,第一无人不服
- 王金秀!书法艺术家王金秀丨龙蛇飞舞 笔底春风 作品欣赏
- 王献之$看看孙晓云30岁写的字吧,一般人还真比不上,果然是一代才女!
- 工整!9岁男孩一手“印刷字体”走红,看了不忍扣分,被赞当代王羲之
- 步枪体#王震将军6幅“步枪体”书法罕曝,线条粗朴少灵活,却被赞为绝唱
- 紫薇大帝$西游记里谁是最牛凡人?阎王被他吓到流冷汗,玉帝如来看到他害怕
- 胡杨林$作品突破前人窠臼,当代著名画家王照华虎年新篇《胡杨礼赞》
