沈从文|林徽因罕见手稿,书法才是最美的颜值!
林徽因,善诗文,会画画
虽然林徽因生前很多资料都遗失了
但是她的一些诗歌手稿以及
与友人的珍贵手稿都被保存了下来
一起来看

文章插图
林徽因的诗歌《你来了》

文章插图
林徽因的诗歌《山中一个夏夜》

文章插图
林徽因的诗歌《灵感》

文章插图
林徽因的诗歌《深笑》

文章插图

文章插图
林徽因写给胡适的信
林徽因与胡适交好
两人时常有书信往来

文章插图
林徽因写给沈从文的信

文章插图
梁思成林徽因共同写给
沈从文夫人张兆和的信件
林徽因人缘极好
与作家才沈从文交情也极好

文章插图
林徽因写给梁思成的信
林徽因与梁思成的通信很罕见
可能大部分都遗失了

文章插图

文章插图

文章插图
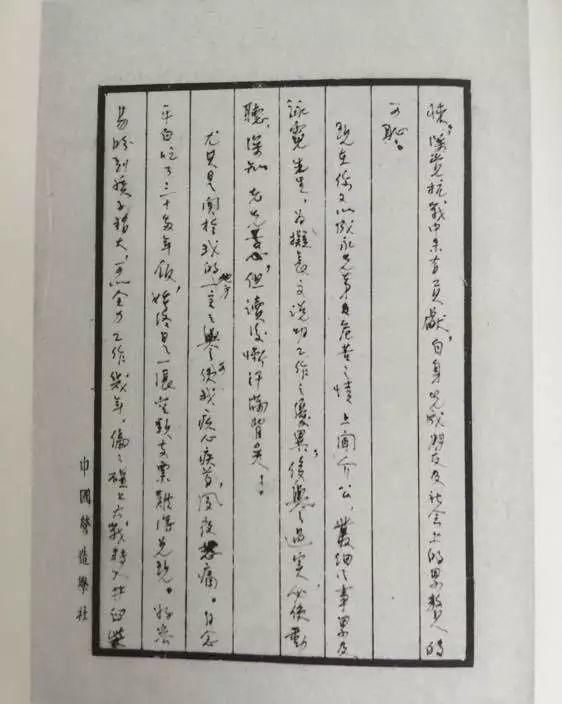
林徽因感谢傅斯年慷慨救助的回信
在李庄期间
傅斯年对林徽因、梁思成
的生活提供了帮助
因此,林徽因对他甚是感激
【 沈从文|林徽因罕见手稿,书法才是最美的颜值!】写信表示感谢

文章插图

文章插图

文章插图
林徽因的文章手稿
从这些手稿可看出,林徽因的字就如同她这个人一般,孤傲、高洁、灵性,并且很是漂亮。
林徽书法,清秀典雅,材质动人。林徽因不以书法而闻名,她是建筑学家,作家、诗人。但是现在回头去看她的书法作品,也达到了书法家的品质。诗书同工,令人佩服。观赏林徽因的书法,可被其非常富有女性书法的柔美所感动。这样的书法品韵,在当下或许已经非常稀少了。
林徽因出身诗书之家,她的传统文化修养天然而得,爱家学影响,练习书法功成自然。林徽因写书法,明显具有帖碑功力。就书法的柔和飘逸之美,应该是习练王羲之、王献之书法帖本所得。观赏她的书法作品,就是江边惊鸿,轻嗔一声,满目就是姿态优雅的鸿飞姿态,可用材质动人,美不胜收来表达这种观感。
因为有深厚的传统文化功底,所以她的书法创作以典雅为根本,又以清为特质。我们知道,典雅的书法内涵,是许多书法家都着意追求的一种意境。现在书坛,书法家们多数是霸气有余,癫狂有余,纵笔施大墨,但是唯有典雅不足。典雅是书法比气盛更为难得的一种书法意境。气盛的书法姿态容易通过笔墨的恣意而获得,典雅的书法品味唯能通过传统文化深厚的底积去酝酿。所以说林徽因书法里的典雅气质,恰如她的典雅人格一样,书如其人,令人感动。
另外,林徽因书法里的清秀气质,一是源于她为女性天然清秀的追求,二是源于她修身养德已达清秀的现实。内心对书法清秀品质的追求并不是刻意的表达,而是自然的流露。柳公权所言“心正则笔正”,那么林徽因则为书法立言“心秀则笔秀”。
- 三星堆|二里头的罕见玉器竟来自三星堆?
- 尖晶石!孝靖皇后佩戴的凤冠,口衔罕见异形珍珠宝石,成为凤冠中的佼佼者
- 冰心#因一坛醋,林徽因与冰心闹54年,冰心晚年感叹未嫁的人间四月天
- 东亚病夫#中国最邪恶的4把罕见冷兵器,第四把清朝成“东亚病夫”跟它有关
- 小说$深爱沈从文的小说,细品他十句格言,文化底蕴深厚,凸显其人生观
- 梁思成@最爱林徽因的男子,不是梁思成,是他!
- 木棺@山东罕见!济南一处明代墓发现涂漆木棺和植物种子,保存较好
- 题字#罕见毛主席为青藏、康藏、天兰路通车题字书法作品,这才是好书法
- 莲灯$“民国四大美女”最真实的照片陆小曼垫底,林徽因是最漂亮的!
- 金岳霖@林徽因珍贵的家庭照,第三幅图,美得如出污泥而不染
